📰 本频道不定期推送科技数码类新资讯,欢迎关注!
©️ 发布的内容不代表本频道立场,和你意见不一样的话欢迎在评论区留言表达,但请注意言辞,面斥不雅。
‼️ 关联群组定期清理不活跃成员和僵尸号,误封请联系管理员。
🔗 博客: https://yummy.best
💬 群组: @GodlyGroup
📬 投稿: @GodlyNewsBot
🪧 广告合作: @yummybest_bot.
©️ 发布的内容不代表本频道立场,和你意见不一样的话欢迎在评论区留言表达,但请注意言辞,面斥不雅。
‼️ 关联群组定期清理不活跃成员和僵尸号,误封请联系管理员。
🔗 博客: https://yummy.best
💬 群组: @GodlyGroup
📬 投稿: @GodlyNewsBot
🪧 广告合作: @yummybest_bot.
中方宣布对加拿大、英国免签
外交部领事司发布对加拿大、英国实施免签政策的通知称,为进一步便利中外人员往来,中方决定自2026年2月17日起,对加拿大、英国实施免签政策,两国持普通护照人员来华经商、旅游观光、探亲访友、交流访问、过境不超过30天,可免签入境。上述免签政策实施至2026年12月31日。不符合免签条件人员仍需在入境前办妥来华签证。
🗒 标签: #免签 #签证
📢 频道: @GodlyNews1
🤖 投稿: @GodlyNewsBot
外交部领事司发布对加拿大、英国实施免签政策的通知称,为进一步便利中外人员往来,中方决定自2026年2月17日起,对加拿大、英国实施免签政策,两国持普通护照人员来华经商、旅游观光、探亲访友、交流访问、过境不超过30天,可免签入境。上述免签政策实施至2026年12月31日。不符合免签条件人员仍需在入境前办妥来华签证。
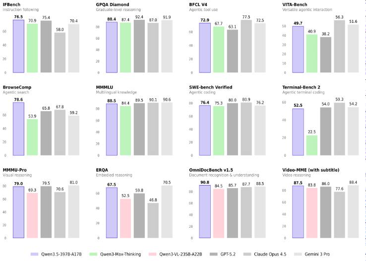
千问3.5实现了底层模型架构的全面革新,此次发布的Qwen3.5-Plus版本总参数为3970亿,激活仅170亿,以小胜大,性能超过万亿参数的Qwen3-Max模型,部署显存占用降低60%,推理效率大幅提升,最大推理吞吐量可提升至19倍。Qwen3.5-Plus的API价格每百万Token低至0.8元,仅为Gemini 3 pro的1/18。
千问3.5在文本和视觉的混合数据上预训练,实现了原生多模态的新突破,在推理、编程、Agent智能体等全方位基准评估中均表现优异,并在视觉理解能力的权威评测中斩获数项性能最佳。
据悉,千问APP、PC端已第一时间接入Qwen3.5-Plus模型。开发者可在魔搭社区和HuggingFace下载新模型,或通过阿里云百炼直接获取API服务。
豆包暂停视频通话功能
豆包APP目前暂停了视频通话功能,页面显示“新春人数较多,暂不支持此功能”,或因算力压力所致。今日除夕,豆包将通过总台春晚进行红包互动。
🗒 标签: #豆包 #字节跳动
📢 频道: @GodlyNews1
🤖 投稿: @GodlyNewsBot
豆包APP目前暂停了视频通话功能,页面显示“新春人数较多,暂不支持此功能”,或因算力压力所致。今日除夕,豆包将通过总台春晚进行红包互动。
智谱:全球范围内对GLM-5的需求激增,全网寻找“算力合伙人”
2月16日,智谱官方宣布启动“算力合伙人”招募计划。智谱称,尽管已经多次对国产芯片集群进行扩容,并限量发售了 GLM Coding Plan 套餐,但依然无法彻底解决当前供不应求的局面。
对于芯片厂商,智谱称愿开放核心技术接口,与其联合开展针对 GLM-5 的底层优化,共同打造极致的软硬一体化性能标杆。对于算力伙伴与推理服务商,智谱表示,“如果您拥有大规模、高稳定性的算力池,或具备卓越的推理分发能力,我们期待与您共建更高并发、更低延迟的推理网络。”
🗒 标签: #智谱 #GLM
📢 频道: @GodlyNews1
🤖 投稿: @GodlyNewsBot
2月16日,智谱官方宣布启动“算力合伙人”招募计划。智谱称,尽管已经多次对国产芯片集群进行扩容,并限量发售了 GLM Coding Plan 套餐,但依然无法彻底解决当前供不应求的局面。
对于芯片厂商,智谱称愿开放核心技术接口,与其联合开展针对 GLM-5 的底层优化,共同打造极致的软硬一体化性能标杆。对于算力伙伴与推理服务商,智谱表示,“如果您拥有大规模、高稳定性的算力池,或具备卓越的推理分发能力,我们期待与您共建更高并发、更低延迟的推理网络。”
Peter Steinberger最终拒绝Meta,选择加入OpenAI。
OpenAI CEO Sam Altman周日通过社交媒体X正式确认,开源智能体OpenClaw的创作者Peter Steinberger将加入公司。
对于市场关注的项目归属,双方给出了定心丸:OpenClaw不会被私有化,而是转入独立基金会继续开源,OpenAI承诺提供支持。
“Peter Steinberger加入OpenAI是为了推动下一代个人智能体(personal agents)的开发。” Altman写道,“我们预计这将很快成为我们产品供应的核心。”
“他(Steinberger)是个天才,对于未来非常聪明的智能体之间如何互动、从而为人类做非常有用的事情,有着许多惊人的想法。”
他强调:“未来将是一个极度多智能体(extremely multi-agent)的世界,作为其中的一部分,支持开源对我们来说很重要。”
Steinberger加入OpenAI后的核心任务非常明确且直白:解决AI的易用性。
“我的下一个使命是构建一个连我妈妈都能使用的智能体。这需要更广泛的变革,对如何安全地实现这一目标进行更多的思考,以及获得最新模型和研究的权限。”
据透露,Meta打的是“CEO直聘”牌。扎克伯格不仅亲自试用产品,甚至与Steinberger通电话讨论代码细节,试图用“技术共鸣”打动对方。Steinberger曾评价:“小扎懂我。”
但最终,OpenAI用绝对的“硬实力”赢下了这一局。Altman直接展示了Cerebras合作带来的顶级算力潜能以及Codex模型的深度支持。在当前的AI研发中,算力即真理。
Steinberger坦言:“最终,我觉得OpenAI是继续推动我的愿景并扩大其影响力的最佳场所。”
阿里除夕夜将开源新一代千问Qwen3.5模型
消息人士透露,阿里今晚除夕夜将开源新一代千问大模型Qwen3.5,该模型实现了模型架构的全面创新,有望实现国产模型新的里程碑。去年,阿里在除夕深夜发布Qwen2.5-Max。
🗒 标签: #阿里巴巴 #Qwen #千问
📢 频道: @GodlyNews1
🤖 投稿: @GodlyNewsBot
消息人士透露,阿里今晚除夕夜将开源新一代千问大模型Qwen3.5,该模型实现了模型架构的全面创新,有望实现国产模型新的里程碑。去年,阿里在除夕深夜发布Qwen2.5-Max。
https://x.com/AppleMusic/status/2022451932330365185
最新一轮财报披露后,美国四大超大规模云厂商合计市值回吐逾1万亿美元,投资者对AI基础设施投入失控、现金流承压与债务上行的担忧,正在同时压低股价并推高信用对冲需求。
微软股价较近期高点下跌27%,亚马逊下跌21%,Meta下跌16%,Alphabet下跌11%。市场的核心疑问从“AI值不值”转向“资本开支撑不撑得住”,担心投入过快导致产能过剩和回报周期拉长。
这股情绪也外溢至债市。债务投资者担忧科技巨头为争夺更强AI能力而持续加杠杆,债券信用利差扩大,同时带动单一公司信用违约互换(CDS)交易升温。
在资本开支指引持续抬升的背景下,高盛预计超大规模云厂商2025年至2027年的资本开支合计接近1.4万亿美元。
摩根士丹利则预计超大规模云厂商今年借款规模将达到4000亿美元,高于2025年的1650亿美元。股权端的“万亿美元回撤”与信用端的“对冲热”,正在共同重估“大厂风险”的定价。
美团:预计2025年亏损233亿-243亿元,一季度将延续亏损
美团在2月13日晚间发布盈利预警:公司预计2025年度将由盈转亏,全年录得净亏损约人民币233亿元至243亿元,而2024年度净利润约为人民币358.08亿元,利润端出现近600亿元量级的剧烈反转。
这次业绩“急刹车”的核心原因,来自美团最赚钱的“核心本地商业”分部利润塌方:该分部2024年度经营溢利约人民币524.15亿元,但2025年度预计转为经营亏损约人民币68亿元至70亿元。公司强调,这是在“行业空前激烈的竞争”下,战略性加大生态投入的结果。
🗒 标签: #美团
📢 频道: @GodlyNews1
🤖 投稿: @GodlyNewsBot
美团在2月13日晚间发布盈利预警:公司预计2025年度将由盈转亏,全年录得净亏损约人民币233亿元至243亿元,而2024年度净利润约为人民币358.08亿元,利润端出现近600亿元量级的剧烈反转。
这次业绩“急刹车”的核心原因,来自美团最赚钱的“核心本地商业”分部利润塌方:该分部2024年度经营溢利约人民币524.15亿元,但2025年度预计转为经营亏损约人民币68亿元至70亿元。公司强调,这是在“行业空前激烈的竞争”下,战略性加大生态投入的结果。
这次使用的机型是国产顶级旗舰——华为Mate 80系列。
蚂蚁开源混合线性架构的万亿参数思考模型Ring-2.5-1T
蚂蚁发布并开源首个混合线性架构的万亿参数思考模型Ring-2.5-1T。据介绍,相比此前发布的Ring-1T,Ring-2.5-1T在生成效率、思考深度、长程执行上均有大幅提升,在超过32K生成长度下,访存规模降低10倍以上,生成吞吐提升3倍以上。
🗒 标签: #蚂蚁 #AI
📢 频道: @GodlyNews1
🤖 投稿: @GodlyNewsBot
蚂蚁发布并开源首个混合线性架构的万亿参数思考模型Ring-2.5-1T。据介绍,相比此前发布的Ring-1T,Ring-2.5-1T在生成效率、思考深度、长程执行上均有大幅提升,在超过32K生成长度下,访存规模降低10倍以上,生成吞吐提升3倍以上。
《死亡搁浅2:冥滩之上》将于3月19日登陆PC,支持超宽屏、超分与帧生成、DS手柄
Steam 标准版售价298,豪华版售价338.
https://store.steampowered.com/app/3280350/DEATH_STRANDING_2_ON_THE_BEACH/
🗒 标签: #死亡搁浅
📢 频道: @GodlyNews1
🤖 投稿: @GodlyNewsBot
Steam 标准版售价298,豪华版售价338.
https://store.steampowered.com/app/3280350/DEATH_STRANDING_2_ON_THE_BEACH/
OpenAI测试GPT-5.3-Codex-Spark 模式
今天起,订阅ChatGPT Pro的用户可在Codex应用程序、CLI和IDE扩展中使用
🗒 标签: #OpenAI
📢 频道: @GodlyNews1
🤖 投稿: @GodlyNewsBot
今天起,订阅ChatGPT Pro的用户可在Codex应用程序、CLI和IDE扩展中使用